一、引言
金融是现代经济的核心,金融发展水平的高低是造成区域经济发展差异的主要原因。发挥和增强金融业在现代经济体系的核心作用,对提高一个国家的经济发展水平和国际竞争力至关重要。从20世纪70-80年代开始,在经济全球化浪潮以及信息技术高速发展的推动下,金融业在空间布局上趋向于某一区域集中的格局逐步显现,形成空间上的金融集聚。这种在经济地理视角下的金融业空间分布及动态优化过程成为当下金融业发展的主要组织形式,并对经济产生显著影响。空间集聚的金融业会产生“极化-涓滴”效应(Hirshma,1958),即某一地区率先集中的金融业会通过极化效应扩大区域金融发展差异并导致经济非均衡发展;随着金融市场的进一步完善,涓滴效应会克服极化效应,带动整个区域的均衡发展,Kindleberger(1974)首次将金融业或金融资源在空间地域上的集中的现象总结为金融集聚。从克鲁格曼(1999)论述了产业集群和集聚经济的形成原因,并用经济学的方法系统全面地解释和分析了产业集群现象后,金融地理学家也开始从金融集聚的演进规律、金融集聚与经济发展的关系以及金融集聚的形成原因等角度对金融集聚问题进行了探讨。
从国际经验来看,世界著名的都市圈或城市群大都经历了“从分散到集聚,再从集聚到扩散”的一般过程,对周边区域经济发展起到显著的带动作用。长三角作为中国经济最有活力的经济圈,业已存在大量的制造业集聚区。长江三角洲地区的金融集聚呈现何种特征?根据本文数据样本,笔者绘制了长三角金融业集聚图(图1)。从图1中可以看出金融业区位熵较高的6个城市为上海市、南京市、无锡市、苏州市、杭州市和宁波市,较低的6个城市为徐州市、盐城市、淮安市、宿迁市、连云港市和泰州市。我们发现银行业区位熵较高的城市全为靠近上海市的大城市或者省会城市,而区位熵较低的城市全为距离大城市较远且经济欠发达的苏北城市。长三角金融业空间分布存在明显的集聚特征,上海等大城市集聚程度明显较高,苏北以及苏中部分地区集聚程度偏低。金融业在地理空间的集中分布必然会引起竞争的加剧,本文也测算了金融业竞争的趋势,发现金融集聚和金融业竞争高度趋同。
金融集聚以及伴随的金融竞争的加剧对经济增长存在怎样的促进作用?其中的机制是什么?目前长三角的金融集聚是发展到了“极化效应”的阶段还是“涓滴效应”的阶段?上述问题的回答有助于我们研究金融聚集对经济增长的效应,形成不同层级的金融增长极,发挥金融的辐射功能,促进区域经济协调发展,具有重要的现实意义。

图1 银行业集聚分位图与银行业竞争分位图
二、文献综述
就资源集聚与经济增长的话题讨论,Hirschman(1958)提出了“极化-涓滴”效应,其中“极化效应”指资本和劳动力资源等生产要素会率先向城市中心聚集,从而扩大中心与腹地的经济差距。“涓滴效应”指城市中心通过在腹地进行产业的扩张再投资、雇佣剩余劳动力等方式促进了腹地的经济增长。Paelinck and Klaassen(1979)《空间计量经济学》之后,空间计量模型的广泛应用使研究类似资源集聚而产生的“极化-涓滴”效应问题变得十分便捷。空间模型的溢出效应形象地描述了区域间的“极化-涓滴”效应。在金融发展与经济增长的讨论中,熊彼特(1912)在其著作《经济发展理论》中最早提出金融中介提供的储蓄调动、资产估值、风险管理、管理者监督和促进交易等金融服务是促进技术进步和经济增长的重要原因之后,探寻金融与经济发展的关系成为西方学者的重要课题。其中,金融资源和经济增长的空间属性成为学者们研究的重要方向。Choi等(1986)通过规模报酬理论分析了金融中心的形成与区域内银行数量的关系,并且发现随着金融机构数量的增多,区域内企业的沟通成本下降,实现外部性经济。这是关于金融资源空间属性的较早研究。孟庆民和杨开忠(2001)探讨了导致空间经济集聚的机理,即经济集聚与经济扩散并存,空间上以经济集聚为主,以扩散为辅,提出了经济集聚的本质是规模经济,范围经济和外部经济共同作用的过程;经济集聚最终产生产业核心区,集聚不经济和区域分工共同导致了经济扩散。孙建国和高岩(2019)通过对24个城市和空港经济区的面板数据的分析得出金融集聚和银行业集聚对城市区全要素生产率影响显著,而对空港经济区影响不显著。随着空间经济学和新经济地理学的兴起,越来越多的学者开始热衷于讨论银行业集聚对经济增长促进的空间溢出效应。李林等(2011)通过建立SLM、SME和SDM模型对中国金融集聚现状进行分析,发现我国金融聚集呈现出一定的空间相关性,但空间集聚的辐射能力有限,而且空间相关性主要体现在银行业的空间分布。李红和王彦晓(2014)通过对286个城市空间面板数据的经验研究发现金融集聚催使了人才、资源和资金的集聚,不仅显著促进了城市经济增长,而且在邻近地区还存在显著的空间溢出效应。越发达的地区受惠于邻近城市金融集聚的外溢效应现象越显著。李健旋和赵林度(2018)通过动态空间面板模型分析发现金融集聚是促进城市整体生产率提高的重要推力,但也造成了城乡发展更加不平衡。吴茂国和陈影(2018)通过对银行业、保险业和证券业的实证研究发现金融程度对于本省和外省的经济增长都有显著的促进作用,具有显著的空间溢出效应,且金融集聚在东部、中部和西部呈现不同的特征,指出我国金融集聚对于技术进步的促进作用存在空间差异。谭燕芝和彭千芮(2019)通过我国31个省区市的空间面板数据分析得出金融集聚对于居民消费水平影响显著,呈“U”型曲线,且存在显著的空间溢出效应。Liao et al.(2019)通过对中国互联网金融对金融资源的省际分配效率影响的实证研究,发现互联网金融的空间集聚和溢出效应对地区金融资源的分配效率有显著的促进作用,并且发展当地互联网金融对邻近地区金融资源分配的效率和技术性有显著的正的空间溢出效应。
金融资源在一区域内形成集聚必将导致该区域内的金融竞争变得激烈。学者们在金融集聚对经济增长影响的研究基础上,通过金融业内部竞争结构的视角研究其与经济增长的关系。
研究表明银行业内部竞争结构对经济增长也存在显著影响。一些学者将银行业内部竞争结构与微观企业活动联系起来,发现银行业竞争水平影响企业的融资环境、创新水平等,从而影响经济增长。Black et al.(2000)实证研究发现银行分支机构建立约束越宽松越有利于新企业的建立,并且新企业的形成往往伴随着小银行在整个银行业中份额的下降。张杰等(2018)通过银行业面板数据的实证研究发现,中国政府放松对银行业的管制,增强了银行业结构性竞争,对企业创新形成“U”型影响效应。一些学者也从宏观经济角度出发,实证研究了银行业竞争水平对区域经济增长的影响,他们认为银行业竞争促进了区域技术进步与资本积累。Guzma et al.(2000)通过比较寡头银行业市场结构和更具竞争力银行业市场结构发现在信贷配给存在的情况下,寡头银行业市场结构的信贷配给比竞争性银行市场更加严重,在不存在信贷配给的情况下,寡头银行业市场结构导致了大量的信用投资监管,从而抑制了资本积累。一些学者将经济增长与银行业竞争的空间属性联系起来。殷兴山等(2003)率先用统计方法对长三角15城金融竞争力进行评估,发现一定区域内地区的金融竞争力与其金融资源分布有很大关系。陈建军和胡晨光(2008)研究发现产业集聚对地区存在显著的发展效应和技术进步效应,同时产业集聚在区域内产生激烈的产业竞争,促进了技术进步和资本深化,从而进一步促使区域内收入水平的提高。马大来和陈仲常(2015)运用空间计量模型对30个省区市的面板数据实证分析得出银行业竞争结构差异是造成省(区、市)际经济发展差距的重要因素,提高中小金融机构的市场份额有助于促进经济增长。
综上文献所述,我们可知银行业集聚与竞争确实对经济增长存在显著的影响。但上述研究多受制于数据,研究对象基本停留在省级层面,只注重了省(区、市)际经济发展与银行业空间分布的空间异质性,而忽视了区域内地级市间经济活动的空间依赖性更加显著。同时我们前文指出集聚和竞争相伴相随,是相互促进的关系,通过长三角城市群银行业竞争现状分位图分析发现其空间分布并不像银行业集聚那样存在明显的空间依赖性。既然银行业集聚和银行业竞争的空间分布状况不同,那么它们对于经济增长的空间溢出效应也应当不同。而现有研究多是单独讨论银行业集聚或银行业结构性竞争与经济增长的关系,具有片面性。并且空间计量方法的运用也得出银行业竞争结构的差异造成区域间经济增长的差异,但是银行业内部竞争是如何影响区域内除本地区以外地区经济增长水平的?现有研究只是说明其是重要因素,但并未指出其空间溢出效应如何,是处在“极化效应”阶段还是“涓滴效应”阶段?本文着重研究长江三角洲城市群银行业集聚和竞争对于经济增长的空间溢出效应,分析银行业集聚和银行业竞争对于区域内除本地区外其他地区经济增长的影响并且利用中介效应模型来研究银行业集聚与银行业结构性竞争对于经济增长的影响机理,提出处理好银行业集聚和竞争水平以有效促进经济增长的政策建议。
三、计量策略选择与数据来源
(一)数据的选用与变量说明
本文数据采用长江三角洲地区1个直辖市和24个地级市2006-2011年6年的面板数据。银行业数据来源于原中国银监会对全国银行业2006-2011年金融活动普查数据;其他变量数据主要来自《中国城市统计年鉴》、《中国区域经济统计年鉴》和《中国教育经费统计年鉴》,还有部分数据来自各省、直辖市及各地级市的统计年鉴。本文模型变量的选用参考仲深和杜磊(2018)。因变量为人均实际GDP(PGDP),自变量选用的是银行业集聚(Agglo),即银行业从业人数和地区人均实际GDP为口径计算的区位熵。银行结构性竞争(CPT),即工、农、中、建、交五大国有商业银行、股份制银行和城市商业银行之间结构性竞争。控制变量包括:政府支出(GOV)(地方一般预算支出占当年该地区实际GDP的比值);固定资产投资(INV)(全社会固定资产投资占当年该地区实际GDP的比值);外商直接投资(FDI)(当年实际使用外资占当年该地区实际GDP比值);教育经费支出(EDU)(教育经费支出占当年该地区实际GDP的比值);产业结构(STRU)(第三产业与第二产业比)。关于Agglo以及CPT两个变量将用以下方法进行估算:
本文银行业区位熵是以人均实际GDP为口径,地级市银行贷款余额总额为指标计算的,代表某地区银行业的集聚程度,其值越高,表示某地区银行业集聚程度越高。其计算公式如下:
式中Aggloij代表地级市银行业区位熵,qij代表地级市银行业贷款余额,qj代表长江三角洲银行业贷款余额,qi代表地级市人口数量,q代表长江三角洲人口总数。
银行结构性竞争变量的计算主要借鉴Akins et al.(2016)的方法,先从银行业垄断指标着手,使用银行业贷款余额构建HHI指数,再在HHI指数的基础上构建银行结构性竞争变量。K=1,2,3分别代表了五大国有商业银行、股份制银行和城市商业银行。其值越高,表示地级市银行结构性垄断越强。公式如下:
借鉴Akins etal.(2016)等文献中取负数的做法,公式如下:
该公式说明某地区银行业结构性竞争与其垄断程度成反向关系,垄断程度越低,则竞争越激烈。
(二)模型的选择
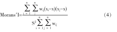
Anselin(1988)提出传统计量在处理面板数据时忽略了空间效应,致使计量结果在一定程度上是有偏的。在实证分析中,我们通常使用莫兰指数来测量数据的空间相关性。莫兰指数的计算公式如下:
xi为单位i的观测值,n为地区数,W为空间权重,wij为单位i与单位j的空间关系。该指数的取值范围为[-1,1],指数为正表示存在正向空间关系,指数为负表示存在反向空间关系,指数为零表示不存在空间关系。
通过计算长三角25个城市6年的银行业集聚和银行业结构性竞争变量的残差莫兰指数,计算结果如下(表2):
表2 银行业集聚与结构性竞争的全局莫兰指数
通过表2可知,城市人均GDP与银行业集聚变量的残差莫兰指数为正,且都在1%的置信水平下显著,说明银行业集聚存在显著的空间正相关。城市人均GDP与银行业结构性竞争变量的残差莫兰指数为正,且都在10%的置信水平下显著,说明银行业结构性竞争也存在显著的空间相关性。
通过对莫兰指数的计算,发现长三角地区25个城市的银行业集聚和银行业结构性竞争存在显著的空间相关性,又考虑到我国城市经济发展不平衡,如大城市享有更多的政策资源和经济资源,并且银监会于2006年和2009年分别发布了促进中小银行发展的重要通知,对银行业结构产生重要影响。所以本文构建具有双固定效应的静态空间杜宾模型研究银行业集聚(式5)和银行业结构竞争(式6)对经济增长的空间溢出效应。模型如下:
其中wityit是被解释变量的内生性交互效应,它表达某一地区经济增长与其相邻的不同空间单位经济增长的空间相关关系。witxit是被解释变量与解释变量之间的外生性交互效应,它表达其他空间单位的独立解释变量对本地区经济增长水平的影响。μi为空间固定效应,λt为时间固定效应,εit为随机扰动项。
(三)空间权重矩阵的构建
本文通过长江三角洲25个城市经纬度信息构建0-1邻近空间权重矩阵。又考虑到对“空间”内涵理解的扩展,“空间邻近”不仅仅包含地理空间上的邻近,也包含行为科学层面上的空间互动关系,即假设各个地级市经济活动也会受到大城市的影响。在矩阵的处理中表现为各个地级市都与上海市、南京市和杭州市“邻近”。所以本文在银行业集聚模型中采用了0-1邻近空间权重矩阵与大城市空间权重矩阵的混合矩阵。通过实证结果分析,在对银行业结构性竞争模型进行回归分析时,0-1邻近空间权重矩阵更能有效观测空间溢出效应,所以在银行业结构性竞争模型中采用0-1邻近空间权重矩阵。
四、实证结果与分析
(一)空间面板实证结果分析
本文以经济增长为被解释变量,银行业集聚和银行业结构性竞争分别作为解释变量进行回归。回归结果分别记为集聚模型和竞争模型,结果如下所示:
如表3所示,先对核心变量的估计结果进行解读。在集聚模型中,银行业集聚的系数为0.1224,且在5%的置信水平下显著,即银行业集聚程度每提高1个单位,对经济增长的平均贡献为12.24%,说明银行业集聚对经济增长有促进作用。对银行业集聚促进经济增长的效应进行分解,结果显示银行业集聚对经济增长的直接效应为0.1408,且在5%的置信水平下显著,溢出效应为0.5581,且在10%的置信水平下显著。说明某地区内银行业集聚对当地的经济增长存在促进作用,并且与其邻近地区的银行业集聚水平也会对本地区经济增长存在作用。在竞争模型中,银行业结构性竞争的系数为0.3857,且在5%的置信水平下显著,即银行业结构性竞争水平每上升1个单位,对经济增长的平均贡献率为38.57%,说明银行业竞争对经济增长存在促进作用。对银行业结构性竞争对经济增长的促进作用进行效应分解,结果显示银行业结构性竞争的直接效应系数为0.3156,并不显著,溢出效应系数为-1.2871,且在5%的置信水平下显著。说明某观测地区的银行业结构性竞争对本地的经济增长并不存在显著的直接促进作用,同时,邻近地区的银行业结构性竞争对本地区的经济增长存在反向关系。然后对各控制变量的估计结果进行解读。在集聚模型中,政府支出的系数为0.1683,且在1%的置信水平下显著,说明政府支出对经济增长有促进作用。外商直接投资的系数为1.98,且在1%的置信水平下显著,说明外商直接投资对经济增长有促进作用。产业结构的系数为-0.3637,且在10%的置信水平下显著,说明产业结构和经济增长存在反向关系。在竞争模型中,控制变量的回归结果与集聚模型大体相同,所以不再赘述。两个模型被解释变量的滞后项系数分别为0.4324和0.3350,且都在1%的置信水平下显著,更加说明了选择空间计量模型的正确性。另外集聚模型和竞争模型中教育与经济增长的关系并不显著。本文以教育投入来表示人力资本水平,很多学者的研究证明人力资本水平的增长有利于区域经济的增长(詹兴宇,2013),但也有一部分学者的研究表明人力资本水平的增长对经济增长并无显著的促进作用(陈常仲和马红旗,2011)。本文认为人力资本的投入与回报并不像生产商品那样,从培养人才到形成人力资本能够为区域经济增长做出贡献是一个漫长的过程,当期对于人才培养的投入可能需要好几年甚至几十年才能反哺于社会。所以无论最后结果显著与否,将教育投入作为用来衡量人力资本发展水平的控制变量还是十分必要的。
表3 银行业集聚与结构性竞争的空间面板估计
从实证结果来看,银行业的资源集聚不仅可以促进本地区经济增长,并且其空间溢出效应显著为正,即对邻近地区的经济增长存在促进作用,与陈建军等(2008)、吴茂国和陈影(2018)、李林等(2011)等学者的研究结果相同。并且银行业集聚对经济增长的空间溢出效应大于直接效应,这说明就某一地区而言,其邻近地区的银行业集聚状况相对于本地区银行业集聚状况对本地区经济增长的影响更大,也就是说良好的银行业集聚环境对区域内地区的经济增长更加重要。银行业的结构性竞争也促进了当地经济增长,但其空间溢出效应是负值,这说明为优先抢占银行业市场,当某地区银行业结构性竞争加剧时,银行管理者会产生想要周边银行业资源优先向本地区集聚的想法。虽然在我国银行业管制较严,银行贷款资源受到银行业务开展的属地限制、授权限制等规定,流动性较差,但中国银行业监督管理委员会于2006年发布《城市商业银行异地分支机构管理办法》,其中核心部分是“根据发展状况允许城市商业银行设立异地(区分为省内设立和跨省设立)分支机构”,2009年发布《关于中小商业银行分支机构市场准入政策的调整意见(试行)》,其中核心部分是“已在省会(首府)城市设有分行的股份制商业银行,在该城市所在省(自治区)内的其他城市再申请设立下设分行和支行,不再受数量指标控制。城市商业银行在法人住所所在省(自治区、直辖市)内设立分支机构,不再受数量指标限制”。这两则通知使得城市商业银行不再受开展业务属地的约束和数量指标的限制(张杰等,2017),增加了银行业资源在区域内的流动性,为银行管理者灵活使用银行资源的决策提供了可行性。一方面,本地区银行业资源集聚水平和竞争活力提高,降低了当地企业融资难度,促进了当地经济增长;另一方面,周边地区银行业资源供给不能满足企业融资需求,造成银行业资源的空间分布不合理,影响邻近地区的金融发展,从而影响邻近地区的经济发展,产生“极化效应”。
(二)稳健性检验
为检验计量结果的稳健性,本文选择城市存款总额作为新的银行业集聚指标计算区位熵,以银行业从业人数作为新的指标计算银行业结构性竞争。并选用与上文相同的空间权重矩阵和空间杜宾模型进行面板数据的参数估计,估计结果如表4所示。
从表4可以看出,在集聚模型中,与贷款不同的是,存款对当地经济增长的影响较为直接,即一般居民或企业多就地存款,所以以存款为指标计算的区位熵对于经济增长的直接效应较为显著,而空间效应不显著,符合经济学常理,其余参数估计也基本显著。在竞争模型中,银行业结构性竞争对于经济增长的直接效应并不显著,而空间溢出效应为负值,并在5%的置信水平下显著,与上文结果一样,其余参数的估计结果与上文基本相同。这可以证明实证计量部分的结果是稳健的。
表4 稳健性的空间面板估计
(三)有调节变量的中介模型及计量结果分析
陈建军等(2009)提出一地区的产业集聚“锁定”了地区竞争优势,发现银行业集聚对经济增长的影响主要是通过对地区内银行业结构性竞争水平的促进,进而影响经济增长水平。上述陈述表明我们应该使用中介效应模型检验长三角城市群内某一城市的银行业结构性竞争对银行业集聚促进当地经济增长的中介效应。考虑到地区内银行业集聚程度的高低对银行业结构性竞争的中介效应,本文选用具有调节变量的中介效应模型如图3所示。
图3 集聚水平变量的调节作用
设置自变量和调节变量为银行业集聚(Agglo),中介变量为银行业结构性竞争(CPT),因变量为经济增长(PGDP)。中介效应模型如下:
条件间接效应为:a1(b1+b3Agglo)
通过对条件间接效应的检验确定中介效应是否存在以及其显著性大小。我们将调节变量(Agglo)按照其均值加减一个标准差的方法制定三个不同水平的集聚程度,分别为低集聚、中等集聚水平和高集聚水平,分别对应的是_bs_1、_bs_2和_bs_3。通过Bootstrap500次,在95%的置信区间下,得到的条件中介效应的回归结果如表5所示。
表5 调节中介效应模型估计
在低水平集聚的情况下,中介效应在1%的水平下显著;在中等集聚水平下,中介效应在5%的水平下显著;在高集聚水平下,中介效应在1%的水平下显著。我们发现特定观测地区的银行业集聚水平无论从高到低,银行业结构性竞争的中介效应都十分显著。这说明某地区内银行业集聚水平通过促进这一地区内的银行业结构性竞争水平从而促进当地的经济增长,且在无论是银行业集聚水平偏低的苏北地区还是集聚水平偏高的南京市、杭州市和上海市,这种中介效应都十分显著。随着集聚水平的上升,条件中介效应系数由0.2845下降到0.0799,最后下降到-0.1247,这说明当地银行业集聚程度越高,银行业集聚通过提高银行业结构性竞争水平进而促进经济增长的中介效应越低,当集聚程度足够高时,由于银行业集聚程度提高而导致的银行业结构性竞争对于经济增长产生消极影响。
为检验条件中介效应模型的稳健性,和检验空间模型的估计结果稳健性一样,选择城级市存款总额作为新的银行业集聚指标计算区位熵,以银行业从业人数作为新的指标计算银行业结构性竞争,按照相同方法构建具有调节变量的中介效应模型,并通过Bootstrap500次计算,回归结果如表6所示。
表6 调节中介效应模型估计
从表6可知,同之前的结果一样,我们可以看到随着银行业集聚水平的提高,条件中介效应系数先由0.3195下降到0.0622,最后下降到-0.1950,且都为显著。说明随着银行业集聚程度的提高,由银行业集聚促进银行业结构性竞争,进而促进经济增长的中介效应减弱。与上文结果相同,证明上文调节中介效应模型的估计结果基本稳健。
五、结论
金融业的发展对地区经济增长有着重要意义,银行业作为金融业的重要组成部分,其行业结构与空间布局对区域经济增长有着深远的影响。本文通过实证研究发现银行业高度集聚与激烈的结构性竞争有利于观测地区的经济增长。同时本地区银行业集聚程度对区域内其他邻近地区的经济增长存在显著的空间溢出效应,即“涓滴效应”。并且银行业集聚程度对邻近地区经济增长的空间溢出效应大于对促进本地区经济增长的直接效应。本地区银行业结构性竞争对区域内其他邻近地区的经济增长存在负的空间溢出效应,即“极化效应”,短期内某一地区银行业结构性竞争激烈会对周边邻近地区的经济产生负影响。而随着区域内银行业集聚程度的提高会削弱银行业结构性竞争对经济增长的促进作用。综合以上研究结果,本文提出以下建议:第一,鼓励银行业发展与创新,使其满足经济发展需求,实现其服务实体经济发展任务。第二,营造良好的银行业集聚环境,提高银行业资源的利用效率,降低风险和成本。第三,大力推动银行业结构改革,给予城市商业银行和股份制银行更好的政策环境,激发银行业活力。第四,在推动银行业结构性改革的同时,倡导银行业市场的良性竞争,减少重复建设和资源浪费。第五,在鼓励银行业集聚从而享受由集聚带来的“涓滴效应”的同时,也要控制其集聚程度,避免因过度集聚而减弱银行业结构性竞争对经济增长的促进作用,实现银行业均衡发展。
来源:《上海金融》2020年第4期